The Lancet heeft onlangs een interessante analyse gepubliceerd van de levensverwachting tijdens de periode 1990-2021 in 20 Europese landen. Tijdens die periode is de levensverwachting gestegen, maar minder snel dan voordien en in 2019-2021 is ze zelfs gedaald door de covidpandemie. Belangrijkste oorzaak: de moderne gewoontes zijn schadelijk voor de gezondheid van het hart- en vaatstelsel. Maar er is ook goed nieuws: België doet het niet slecht in die lijst (bron).
De werkgroep GBD 2021 heeft in maart 2025 een studie over de levensverwachting (Global Burden of Diseases, Injuries, and Risk Factors Study 2021) gepubliceerd in The Lancet Public Health. De studie is uitgevoerd in 20 Europese landen: België, Denemarken, Duitsland, Finland, Frankrijk, Griekenland, Ierland, IJsland, Italië, Luxemburg, Nederland, Noorwegen, Oostenrijk, Portugal, Spanje, het Verenigd Koninkrijk en Zweden. Het Verenigd Koninkrijk werd daarbij opgesplitst in zijn 4 naties: Engeland, Schotland, Noord-Ierland en Wales. De onderzoekers hebben 3 perioden tegen het licht gehouden: 1990-2011, 2011-2019 en 2019-2021 en hebben daarbij niet alleen gekeken naar de levensverwachting bij de geboorte, maar ook naar de doodsoorzaken en de blootstelling aan risicofactoren.
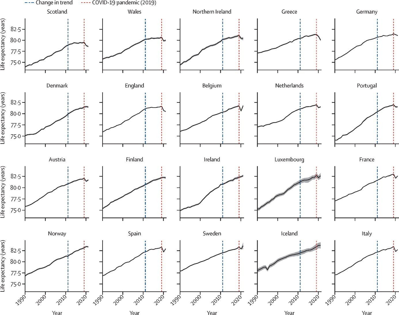
Een duidelijke vertraging
Het goede nieuws is dat de levensverwachting bij de geboorte in alle geanalyseerde landen fraai is gestegen: met gemiddeld 0,23 jaar per jaar in de periode 1990-2011 en met gemiddeld 0,15 jaar per jaar in de periode 2011-2019 (alle landen samen).
Als we de daling tijdens de covidjaren buiten beschouwing laten, blijkt de levensverwachting echter sinds 2011 minder snel toe te nemen dan in de vorige decennia. Het is nog niet duidelijk wat de oorzaken daarvan zijn.

Figuur uit de studie. Levensverwachting bij de geboorte, alle geslachten samen, 1990-2021
Het enige land dat daar een uitzondering op maakt, is Noorwegen. In Noorwegen is de levensverwachting mooi blijven stijgen tot in 2019. In alle andere landen is de levensverwachting in de periode 2011-2019 minder snel gestegen dan in de periode 1990-2011. In IJsland bedroeg het verschil 0,01 jaar per jaar (0,19 jaar in 1990-2011 en 0,18 jaar in 2011-2019). In Engeland was dat 0,18 jaar per jaar (respectievelijk 0,25 en 0,07 jaar).
Zoals te verwachten was, hebben de covidjaren invloed gehad op de levensverwachting. In 2019-2021 is de levensverwachting in de meeste landen gedaald (met gemiddeld 0,18 jaar per jaar) behalve in Ierland, IJsland, Zweden, Noorwegen en Denemarken, waar de levensverwachting desondanks toch wat is gestegen in de periode 2019-2021, en in België, waar de levensverwachting tijdens de coronapandemie op hetzelfde niveau is gebleven.
De sleutel? Het hart en de bloedvaten

Figuur uit de studie. Verandering van de levensverwachting bij de geboorte in 1990-2011, alle geslachten samen genomen, volgens de doodsoorzaak. Ononderbroken zwarte lijn = 1990, stippellijn = 2011

Figuur uit de studie. Idem 2011-2019. Ononderbroken zwarte lijn = 2011, stippellijn = 2019
Tijdens de periode 1990-2011 is de levensverwachting bij de geboorte gestegen dankzij een daling van de cardiovasculaire sterfte en de kankersterfte en in de periode 2011-2019 dankzij een daling van de cardiovasculaire sterfte.
Er wordt minder gerookt, de BMI stijgt
Er zijn wat verschillen van land tot land, maar de belangrijkste risicofactoren zijn systolische hypertensie, een ongezonde voeding, een hoge LDL-cholesterolconcentratie, roken, een hoge BMI, professionele risico’s, veel alcohol drinken en andere risicofactoren zoals weinig lichaamsbeweging. En de meeste van die risicofactoren zijn te vermijden!
In alle landen is het roken verminderd en is de BMI gestegen in de periode 1990-2021.

Figuur uit de studie. Voor de leeftijd gecorrigeerde sterfte (per 100 000 inwoners) toe te schrijven aan hart- en vaataandoeningen of kanker, alle geslachten samen genomen, voor die 16 landen in 2019.